RXS0603+42-N IR detection object #6710

Color images and BPZ results
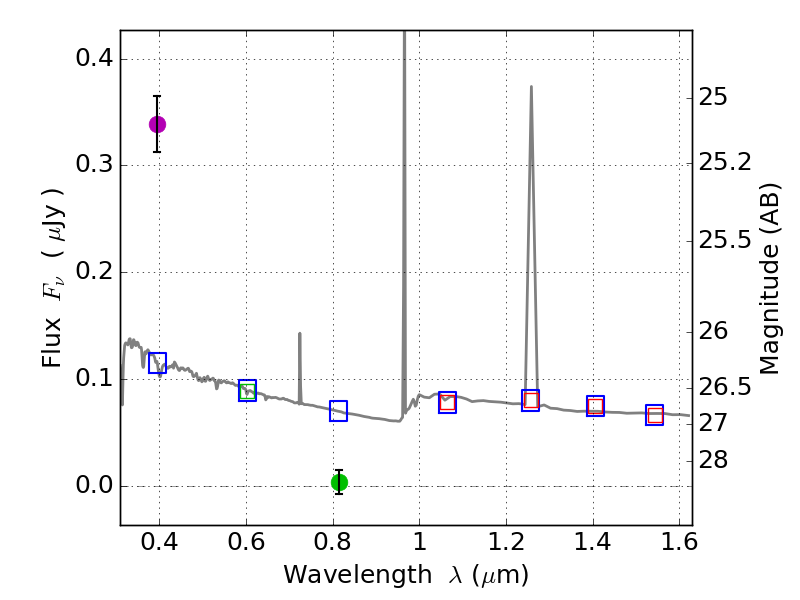
Catalog: 6710.cat
Black segments are analyzed here.   Roll mouse over color images to view segments.
Best viewed in a wide browser window (1200 pixels or more).   Download SED & P(z) plots to view larger versions.
In P(z) plots: Yellow lines mark the cluster redshift z = 0.228,  

Object #6710   x,y = (4037, 1316)   RA, Dec = (06:03:05.832, 42:14:36.60) = (90.77430, 42.24350)   BPZ = 1.594 [1.374--1.979]   type = 11.00 (SB11_A_0_l)   stellarity = 0.62   chisq2 = 92.44   ODDS = 0.50   z_cluster = 0.228