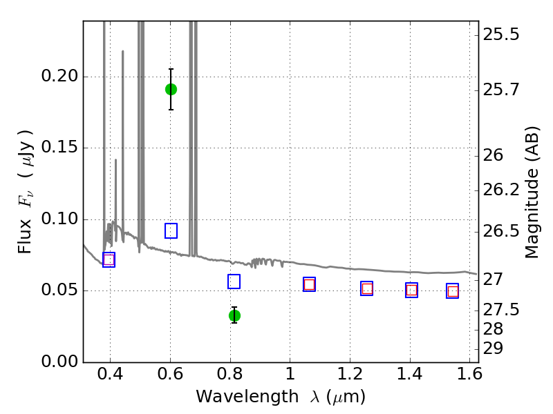
RXS0603+42-N IR detection object #670

Color images and BPZ results
Catalog: 670.cat
Black segments are analyzed here.   Roll mouse over color images to view segments.
Best viewed in a wide browser window (1200 pixels or more).   Download SED & P(z) plots to view larger versions.
In P(z) plots: Yellow lines mark the cluster redshift z = 0.228,  

Object #670   x,y = (2046, 3489)   RA, Dec = (06:03:16.608, 42:16:46.92) = (90.81920, 42.27970)   BPZ = 0.021 [0.010--0.050]   type = 11.00 (SB11_A_0_l)   stellarity = 0.64   chisq2 = 48.10   ODDS = 0.98   z_cluster = 0.228