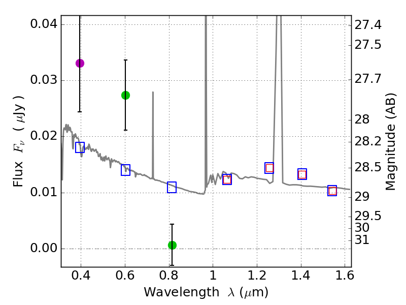
RXS0603+42-N IR detection object #669

Color images and BPZ results
Catalog: 669.cat
Black segments are analyzed here.   Roll mouse over color images to view segments.
Best viewed in a wide browser window (1200 pixels or more).   Download SED & P(z) plots to view larger versions.
In P(z) plots: Yellow lines mark the cluster redshift z = 0.228,  

Object #669   x,y = (2337, 3488)   RA, Dec = (06:03:15.024, 42:16:46.92) = (90.81260, 42.27970)   BPZ = 1.597 [0.871--2.811]   type = 11.00 (SB11_A_0_l)   stellarity = 0.36   chisq2 = 14.53   ODDS = 0.19   z_cluster = 0.228