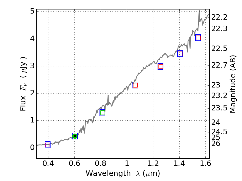
RXS0603+42-N IR detection object #6653

Color images and BPZ results
Catalog: 6653.cat
Black segments are analyzed here.   Roll mouse over color images to view segments.
Best viewed in a wide browser window (1200 pixels or more).   Download SED & P(z) plots to view larger versions.
In P(z) plots: Yellow lines mark the cluster redshift z = 0.228,  

Object #6653   x,y = (989, 1333)   RA, Dec = (06:03:22.320, 42:14:37.68) = (90.84300, 42.24380)   BPZ = 0.708 [0.175--4.118]   type = 6.00 (Sbc_B10)   stellarity = 0.80   chisq2 = 990.00   ODDS = 0.09   z_cluster = 0.228