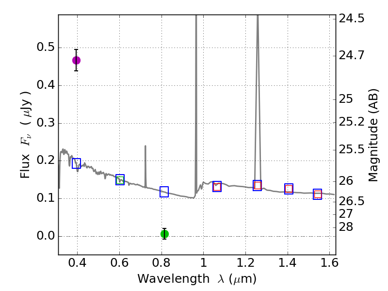
RXS0603+42-N IR detection object #6648

Color images and BPZ results
Catalog: 6648.cat
Black segments are analyzed here.   Roll mouse over color images to view segments.
Best viewed in a wide browser window (1200 pixels or more).   Download SED & P(z) plots to view larger versions.
In P(z) plots: Yellow lines mark the cluster redshift z = 0.228,  

Object #6648   x,y = (4205, 1336)   RA, Dec = (06:03:04.944, 42:14:37.68) = (90.77060, 42.24380)   BPZ = 1.594 [1.429--1.883]   type = 11.00 (SB11_A_0_l)   stellarity = 0.96   chisq2 = 110.20   ODDS = 0.64   z_cluster = 0.228