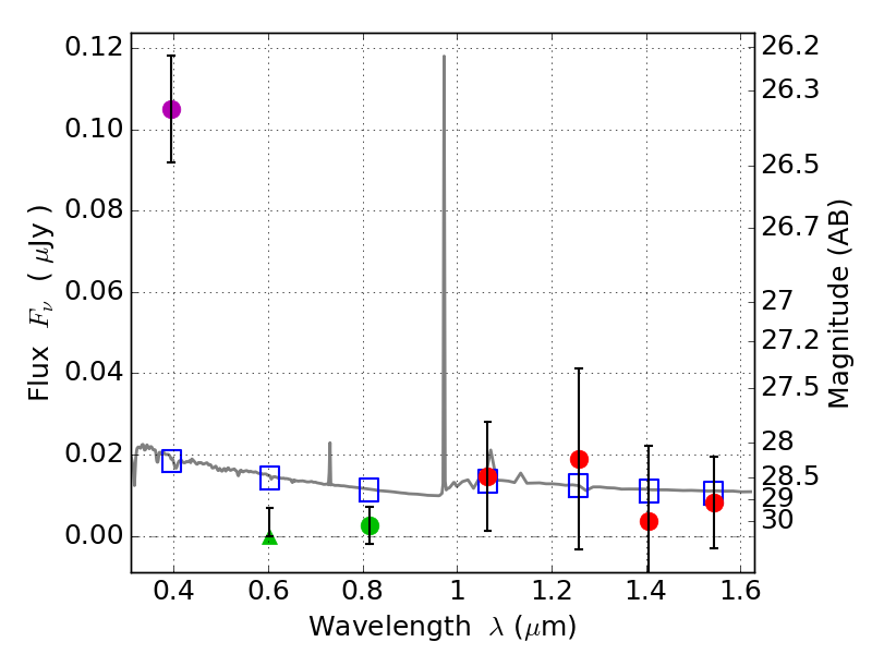
RXS0603+42-N IR detection object #6630

Color images and BPZ results
Catalog: 6630.cat
Black segments are analyzed here.   Roll mouse over color images to view segments.
Best viewed in a wide browser window (1200 pixels or more).   Download SED & P(z) plots to view larger versions.
In P(z) plots: Yellow lines mark the cluster redshift z = 0.228,  

Object #6630   x,y = (1788, 1341)   RA, Dec = (06:03:18.000, 42:14:38.04) = (90.82500, 42.24390)   BPZ = 1.612 [0.613--2.806]   type = 11.00 (SB11_A_0_l)   stellarity = 0.56   chisq2 = 12.50   ODDS = 0.21   z_cluster = 0.228