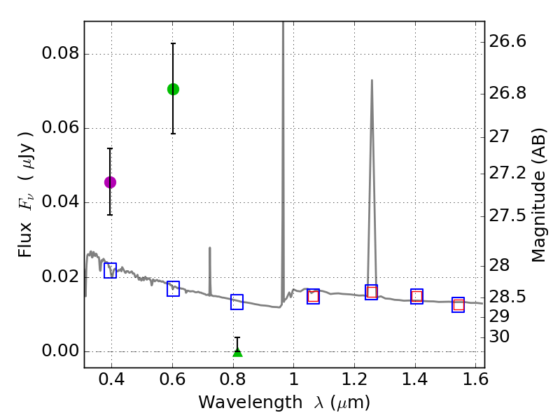
RXS0603+42-N IR detection object #663

Color images and BPZ results
Catalog: 663.cat
Black segments are analyzed here.   Roll mouse over color images to view segments.
Best viewed in a wide browser window (1200 pixels or more).   Download SED & P(z) plots to view larger versions.
In P(z) plots: Yellow lines mark the cluster redshift z = 0.228,  

Object #663   x,y = (3027, 3492)   RA, Dec = (06:03:11.304, 42:16:47.28) = (90.79710, 42.27980)   BPZ = 1.595 [1.053--2.469]   type = 11.00 (SB11_A_0_l)   stellarity = 0.37   chisq2 = 37.29   ODDS = 0.26   z_cluster = 0.228