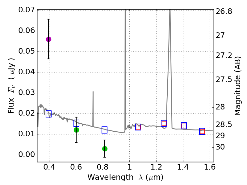
RXS0603+42-N IR detection object #6612

Color images and BPZ results
Catalog: 6612.cat
Black segments are analyzed here.   Roll mouse over color images to view segments.
Best viewed in a wide browser window (1200 pixels or more).   Download SED & P(z) plots to view larger versions.
In P(z) plots: Yellow lines mark the cluster redshift z = 0.228,  

Object #6612   x,y = (1665, 1341)   RA, Dec = (06:03:18.672, 42:14:38.04) = (90.82780, 42.24390)   BPZ = 1.596 [0.826--2.514]   type = 11.00 (SB11_A_0_l)   stellarity = 0.37   chisq2 = 18.54   ODDS = 0.22   z_cluster = 0.228