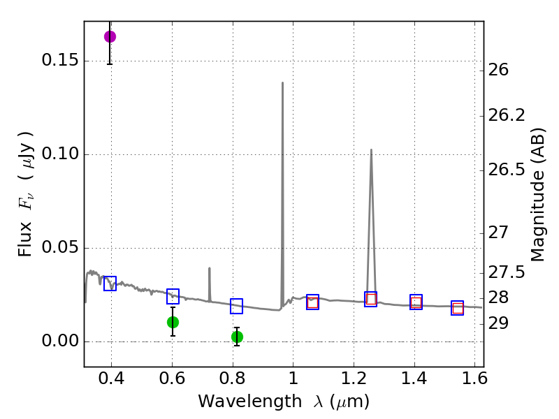
RXS0603+42-N IR detection object #6609

Color images and BPZ results
Catalog: 6609.cat
Black segments are analyzed here.   Roll mouse over color images to view segments.
Best viewed in a wide browser window (1200 pixels or more).   Download SED & P(z) plots to view larger versions.
In P(z) plots: Yellow lines mark the cluster redshift z = 0.228,  

Object #6609   x,y = (1674, 1345)   RA, Dec = (06:03:18.600, 42:14:38.40) = (90.82750, 42.24400)   BPZ = 1.595 [1.156--2.215]   type = 11.00 (SB11_A_0_l)   stellarity = 0.73   chisq2 = 86.18   ODDS = 0.31   z_cluster = 0.228