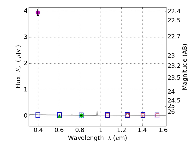
RXS0603+42-N IR detection object #6597

Color images and BPZ results
Catalog: 6597.cat
Black segments are analyzed here.   Roll mouse over color images to view segments.
Best viewed in a wide browser window (1200 pixels or more).   Download SED & P(z) plots to view larger versions.
In P(z) plots: Yellow lines mark the cluster redshift z = 0.228,  

Object #6597   x,y = (1244, 1350)   RA, Dec = (06:03:20.928, 42:14:38.76) = (90.83720, 42.24410)   BPZ = 1.590 [0.609--2.394]   type = 11.00 (SB11_A_0_l)   stellarity = 0.99   chisq2 = 1073.00   ODDS = 0.17   z_cluster = 0.228