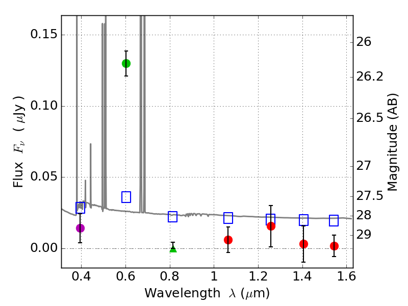
RXS0603+42-N IR detection object #6577

Color images and BPZ results
Catalog: 6577.cat
Black segments are analyzed here.   Roll mouse over color images to view segments.
Best viewed in a wide browser window (1200 pixels or more).   Download SED & P(z) plots to view larger versions.
In P(z) plots: Yellow lines mark the cluster redshift z = 0.228,  

Object #6577   x,y = (2219, 1354)   RA, Dec = (06:03:15.672, 42:14:39.12) = (90.81530, 42.24420)   BPZ = 0.023 [0.010--0.053]   type = 11.00 (SB11_A_0_l)   stellarity = 0.60   chisq2 = 34.49   ODDS = 0.99   z_cluster = 0.228