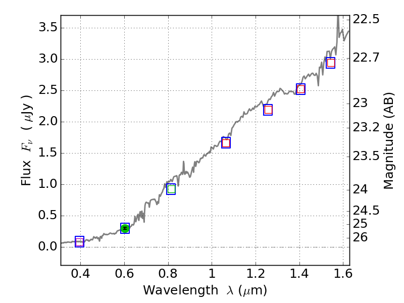
RXS0603+42-N IR detection object #6574

Color images and BPZ results
Catalog: 6574.cat
Black segments are analyzed here.   Roll mouse over color images to view segments.
Best viewed in a wide browser window (1200 pixels or more).   Download SED & P(z) plots to view larger versions.
In P(z) plots: Yellow lines mark the cluster redshift z = 0.228,  

Object #6574   x,y = (971, 1355)   RA, Dec = (06:03:22.416, 42:14:39.12) = (90.84340, 42.24420)   BPZ = 0.737 [0.185--4.460]   type = 6.00 (Sbc_B10)   stellarity = 0.96   chisq2 = 990.00   ODDS = 0.09   z_cluster = 0.228