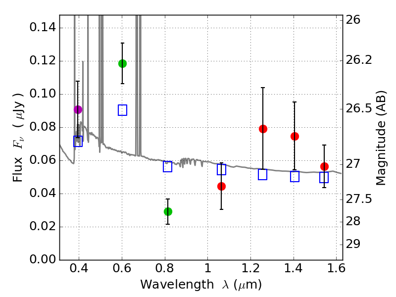
RXS0603+42-N IR detection object #6564

Color images and BPZ results
Catalog: 6564.cat
Black segments are analyzed here.   Roll mouse over color images to view segments.
Best viewed in a wide browser window (1200 pixels or more).   Download SED & P(z) plots to view larger versions.
In P(z) plots: Yellow lines mark the cluster redshift z = 0.228,  

Object #6564   x,y = (3107, 1358)   RA, Dec = (06:03:10.872, 42:14:39.12) = (90.79530, 42.24420)   BPZ = 0.024 [0.023--2.436]   type = 11.00 (SB11_A_0_l)   stellarity = 0.27   chisq2 = 4.09   ODDS = 0.06   z_cluster = 0.228