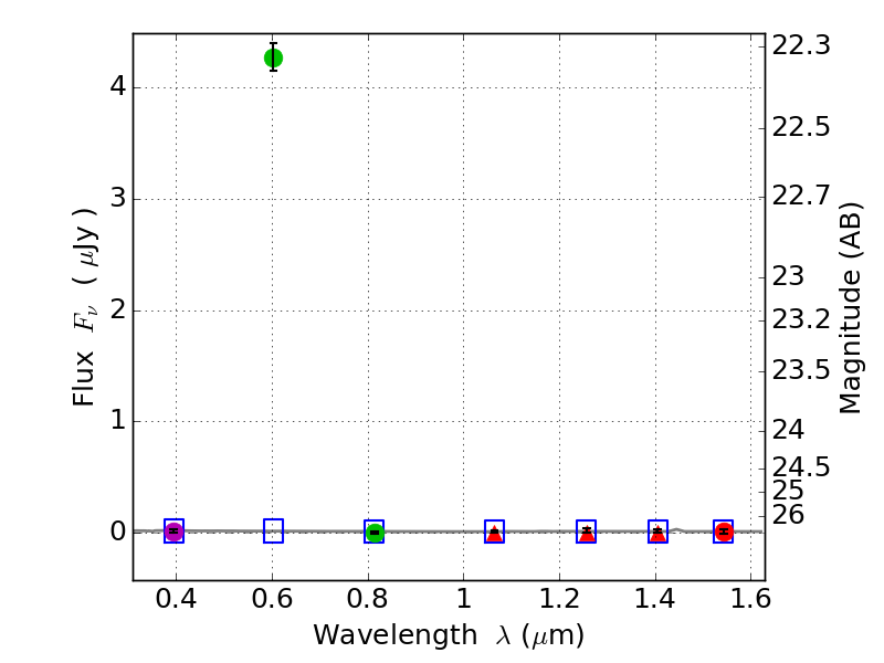
RXS0603+42-N IR detection object #6558

Color images and BPZ results
Catalog: 6558.cat
Black segments are analyzed here.   Roll mouse over color images to view segments.
Best viewed in a wide browser window (1200 pixels or more).   Download SED & P(z) plots to view larger versions.
In P(z) plots: Yellow lines mark the cluster redshift z = 0.228,  

Object #6558   x,y = (4108, 1534)   RA, Dec = (06:03:05.448, 42:14:49.56) = (90.77270, 42.24710)   BPZ = 1.892 [0.336--7.903]   type = 11.00 (SB11_A_0_l)   stellarity = 0.67   chisq2 = 286.30   ODDS = 0.08   z_cluster = 0.228