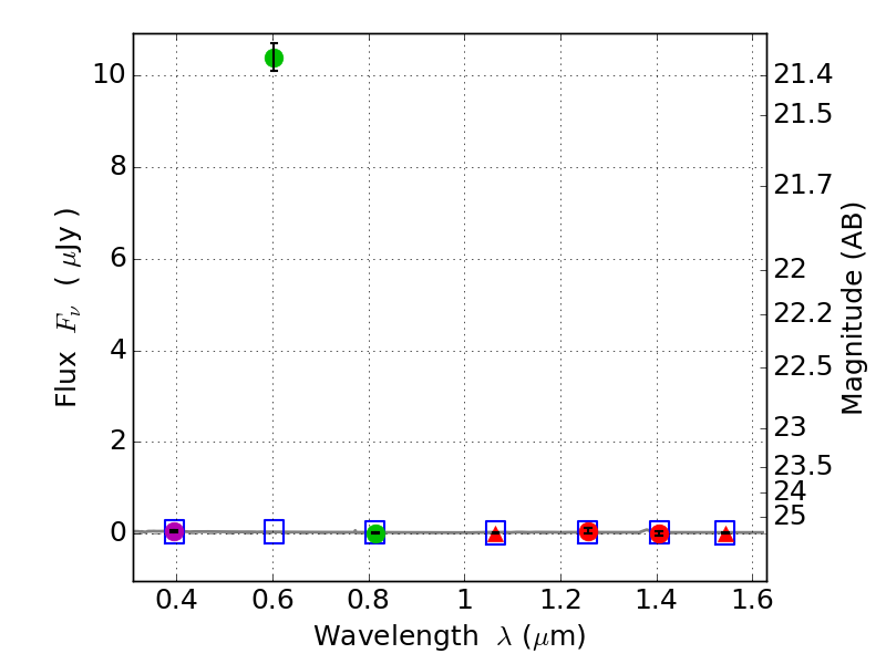
RXS0603+42-N IR detection object #6543

Color images and BPZ results
Catalog: 6543.cat
Black segments are analyzed here.   Roll mouse over color images to view segments.
Best viewed in a wide browser window (1200 pixels or more).   Download SED & P(z) plots to view larger versions.
In P(z) plots: Yellow lines mark the cluster redshift z = 0.228,  

Object #6543   x,y = (4020, 1360)   RA, Dec = (06:03:05.928, 42:14:39.12) = (90.77470, 42.24420)   BPZ = 1.761 [0.243--3.691]   type = 11.00 (SB11_A_0_l)   stellarity = 0.95   chisq2 = 286.10   ODDS = 0.14   z_cluster = 0.228