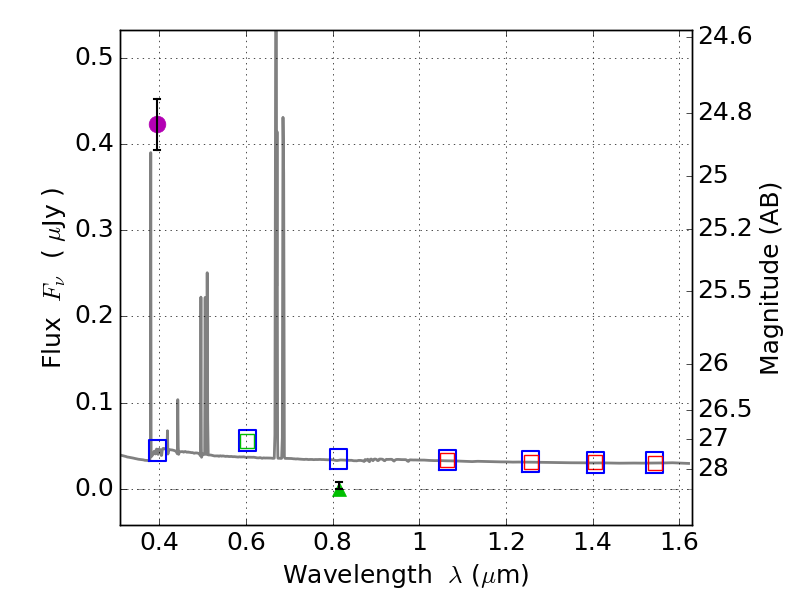
RXS0603+42-N IR detection object #6539

Color images and BPZ results
Catalog: 6539.cat
Black segments are analyzed here.   Roll mouse over color images to view segments.
Best viewed in a wide browser window (1200 pixels or more).   Download SED & P(z) plots to view larger versions.
In P(z) plots: Yellow lines mark the cluster redshift z = 0.228,  

Object #6539   x,y = (4210, 1364)   RA, Dec = (06:03:04.920, 42:14:39.48) = (90.77050, 42.24430)   BPZ = 0.023 [0.010--0.394]   type = 11.00 (SB11_A_0_l)   stellarity = 0.68   chisq2 = 180.80   ODDS = 0.93   z_cluster = 0.228