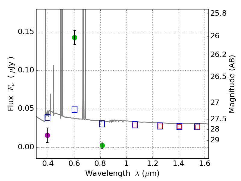
RXS0603+42-N IR detection object #6528

Color images and BPZ results
Catalog: 6528.cat
Black segments are analyzed here.   Roll mouse over color images to view segments.
Best viewed in a wide browser window (1200 pixels or more).   Download SED & P(z) plots to view larger versions.
In P(z) plots: Yellow lines mark the cluster redshift z = 0.228,  

Object #6528   x,y = (1753, 1369)   RA, Dec = (06:03:18.192, 42:14:39.84) = (90.82580, 42.24440)   BPZ = 0.021 [0.010--0.047]   type = 11.00 (SB11_A_0_l)   stellarity = 0.44   chisq2 = 122.40   ODDS = 1.00   z_cluster = 0.228