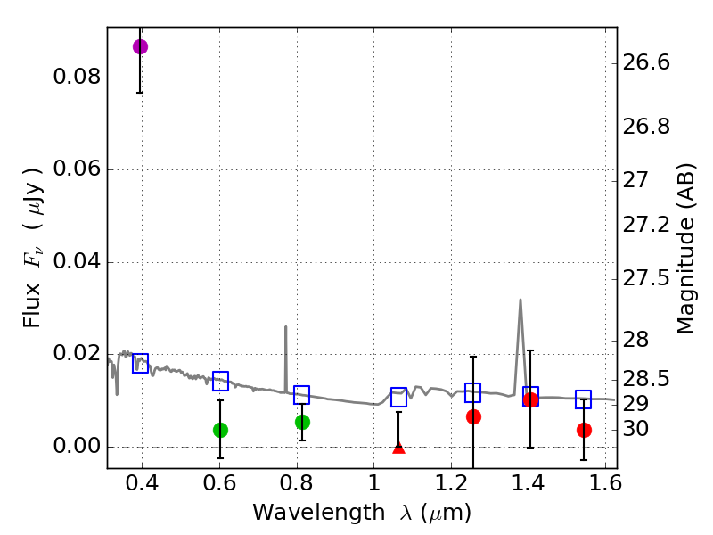
RXS0603+42-N IR detection object #6520

Color images and BPZ results
Catalog: 6520.cat
Black segments are analyzed here.   Roll mouse over color images to view segments.
Best viewed in a wide browser window (1200 pixels or more).   Download SED & P(z) plots to view larger versions.
In P(z) plots: Yellow lines mark the cluster redshift z = 0.228,  

Object #6520   x,y = (2345, 1372)   RA, Dec = (06:03:14.976, 42:14:39.84) = (90.81240, 42.24440)   BPZ = 1.762 [0.788--2.460]   type = 11.00 (SB11_A_0_l)   stellarity = 0.39   chisq2 = 13.15   ODDS = 0.30   z_cluster = 0.228