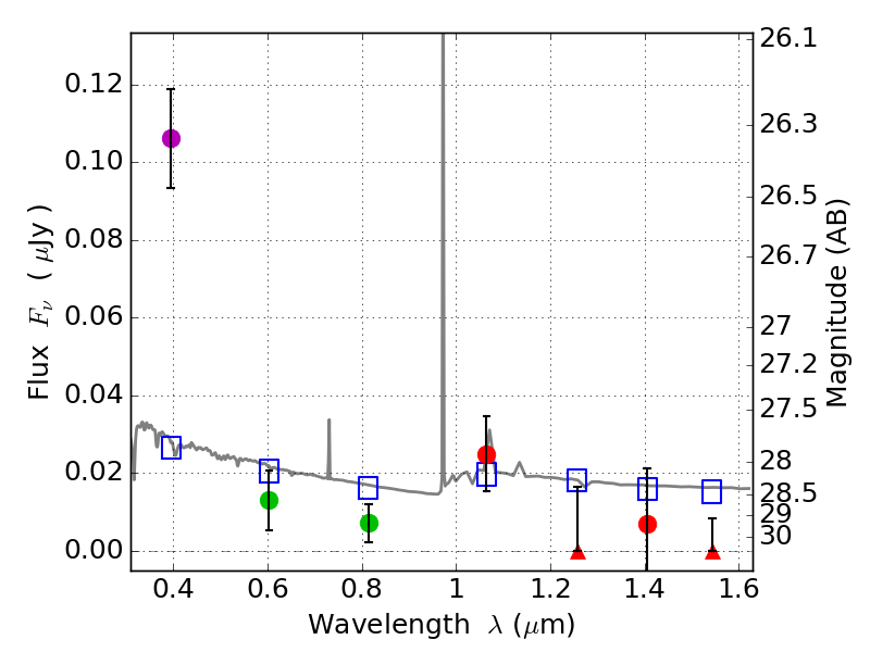
RXS0603+42-N IR detection object #6459

Color images and BPZ results
Catalog: 6459.cat
Black segments are analyzed here.   Roll mouse over color images to view segments.
Best viewed in a wide browser window (1200 pixels or more).   Download SED & P(z) plots to view larger versions.
In P(z) plots: Yellow lines mark the cluster redshift z = 0.228,  

Object #6459   x,y = (3622, 1397)   RA, Dec = (06:03:08.088, 42:14:41.64) = (90.78370, 42.24490)   BPZ = 1.613 [0.773--2.312]   type = 11.00 (SB11_A_0_l)   stellarity = 0.57   chisq2 = 11.89   ODDS = 0.35   z_cluster = 0.228