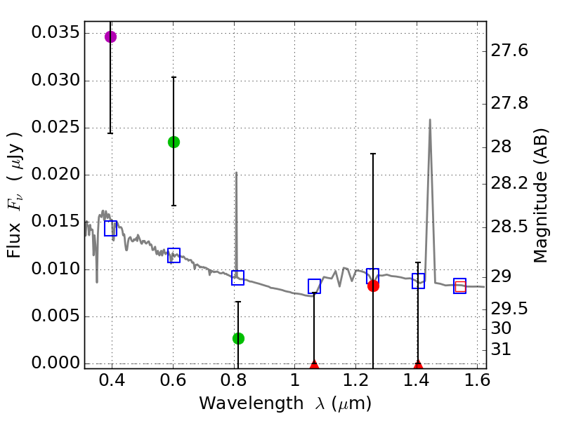
RXS0603+42-N IR detection object #6418

Color images and BPZ results
Catalog: 6418.cat
Black segments are analyzed here.   Roll mouse over color images to view segments.
Best viewed in a wide browser window (1200 pixels or more).   Download SED & P(z) plots to view larger versions.
In P(z) plots: Yellow lines mark the cluster redshift z = 0.228,  

Object #6418   x,y = (2227, 1406)   RA, Dec = (06:03:15.624, 42:14:42.00) = (90.81510, 42.24500)   BPZ = 1.893 [0.351--3.578]   type = 11.00 (SB11_A_0_l)   stellarity = 0.36   chisq2 = 3.78   ODDS = 0.15   z_cluster = 0.228