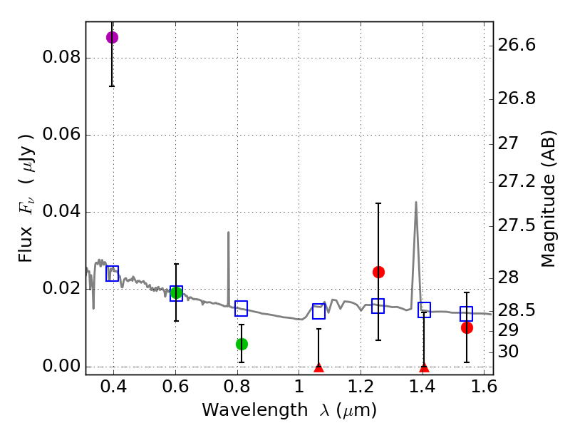
RXS0603+42-N IR detection object #6416

Color images and BPZ results
Catalog: 6416.cat
Black segments are analyzed here.   Roll mouse over color images to view segments.
Best viewed in a wide browser window (1200 pixels or more).   Download SED & P(z) plots to view larger versions.
In P(z) plots: Yellow lines mark the cluster redshift z = 0.228,  

Object #6416   x,y = (3697, 1409)   RA, Dec = (06:03:07.680, 42:14:42.36) = (90.78200, 42.24510)   BPZ = 1.762 [0.849--2.543]   type = 11.00 (SB11_A_0_l)   stellarity = 0.37   chisq2 = 7.31   ODDS = 0.28   z_cluster = 0.228