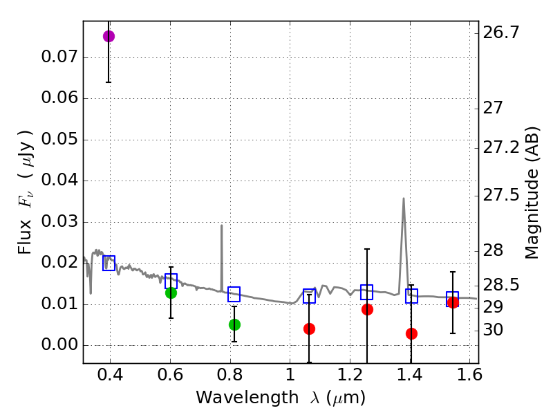
RXS0603+42-N IR detection object #6392

Color images and BPZ results
Catalog: 6392.cat
Black segments are analyzed here.   Roll mouse over color images to view segments.
Best viewed in a wide browser window (1200 pixels or more).   Download SED & P(z) plots to view larger versions.
In P(z) plots: Yellow lines mark the cluster redshift z = 0.228,  

Object #6392   x,y = (3726, 1418)   RA, Dec = (06:03:07.512, 42:14:42.72) = (90.78130, 42.24520)   BPZ = 1.763 [0.743--2.574]   type = 11.00 (SB11_A_0_l)   stellarity = 0.51   chisq2 = 6.98   ODDS = 0.25   z_cluster = 0.228