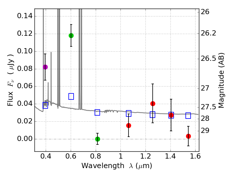
RXS0603+42-N IR detection object #6367

Color images and BPZ results
Catalog: 6367.cat
Black segments are analyzed here.   Roll mouse over color images to view segments.
Best viewed in a wide browser window (1200 pixels or more).   Download SED & P(z) plots to view larger versions.
In P(z) plots: Yellow lines mark the cluster redshift z = 0.228,  

Object #6367   x,y = (2313, 1426)   RA, Dec = (06:03:15.168, 42:14:43.08) = (90.81320, 42.24530)   BPZ = 0.024 [0.019--2.458]   type = 11.00 (SB11_A_0_l)   stellarity = 0.10   chisq2 = 14.93   ODDS = 0.10   z_cluster = 0.228