RXS0603+42-N IR detection object #6364

Color images and BPZ results
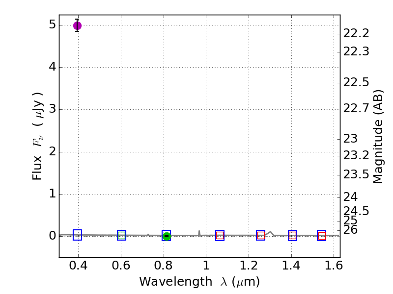
Catalog: 6364.cat
Black segments are analyzed here.   Roll mouse over color images to view segments.
Best viewed in a wide browser window (1200 pixels or more).   Download SED & P(z) plots to view larger versions.
In P(z) plots: Yellow lines mark the cluster redshift z = 0.228,  

Object #6364   x,y = (4275, 1425)   RA, Dec = (06:03:04.560, 42:14:43.08) = (90.76900, 42.24530)   BPZ = 1.596 [0.446--8.295]   type = 11.00 (SB11_A_0_l)   stellarity = 0.91   chisq2 = 1108.00   ODDS = 0.11   z_cluster = 0.228