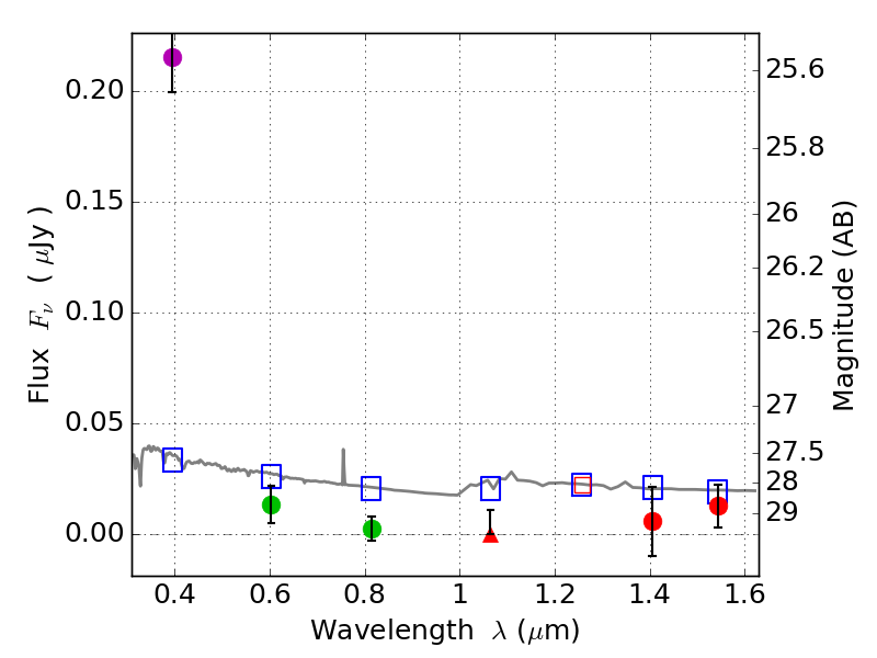
RXS0603+42-N IR detection object #6362

Color images and BPZ results
Catalog: 6362.cat
Black segments are analyzed here.   Roll mouse over color images to view segments.
Best viewed in a wide browser window (1200 pixels or more).   Download SED & P(z) plots to view larger versions.
In P(z) plots: Yellow lines mark the cluster redshift z = 0.228,  

Object #6362   x,y = (2208, 1427)   RA, Dec = (06:03:15.720, 42:14:43.44) = (90.81550, 42.24540)   BPZ = 1.698 [1.354--2.213]   type = 11.00 (SB11_A_0_l)   stellarity = 0.64   chisq2 = 48.27   ODDS = 0.46   z_cluster = 0.228