RXS0603+42-N IR detection object #6301

Color images and BPZ results
Catalog: 6301.cat
Black segments are analyzed here.   Roll mouse over color images to view segments.
Best viewed in a wide browser window (1200 pixels or more).   Download SED & P(z) plots to view larger versions.
In P(z) plots: Yellow lines mark the cluster redshift z = 0.228,  

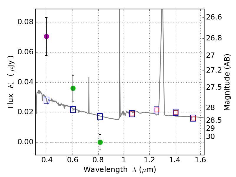
Object #6301   x,y = (1389, 1457)   RA, Dec = (06:03:20.160, 42:14:45.24) = (90.83400, 42.24590)   BPZ = 1.596 [1.156--2.500]   type = 11.00 (SB11_A_0_l)   stellarity = 0.48   chisq2 = 23.60   ODDS = 0.25   z_cluster = 0.228