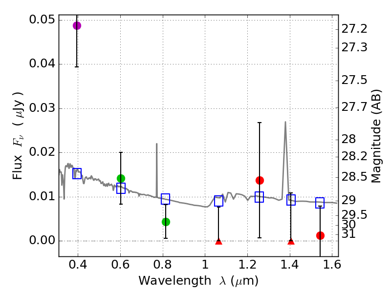
RXS0603+42-N IR detection object #6259

Color images and BPZ results
Catalog: 6259.cat
Black segments are analyzed here.   Roll mouse over color images to view segments.
Best viewed in a wide browser window (1200 pixels or more).   Download SED & P(z) plots to view larger versions.
In P(z) plots: Yellow lines mark the cluster redshift z = 0.228,  

Object #6259   x,y = (3319, 1471)   RA, Dec = (06:03:09.720, 42:14:45.96) = (90.79050, 42.24610)   BPZ = 1.762 [0.393--2.858]   type = 11.00 (SB11_A_0_l)   stellarity = 0.37   chisq2 = 4.43   ODDS = 0.22   z_cluster = 0.228