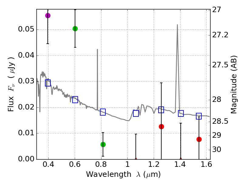
RXS0603+42-N IR detection object #6256

Color images and BPZ results
Catalog: 6256.cat
Black segments are analyzed here.   Roll mouse over color images to view segments.
Best viewed in a wide browser window (1200 pixels or more).   Download SED & P(z) plots to view larger versions.
In P(z) plots: Yellow lines mark the cluster redshift z = 0.228,  

Object #6256   x,y = (2583, 1468)   RA, Dec = (06:03:13.704, 42:14:45.60) = (90.80710, 42.24600)   BPZ = 1.763 [0.037--2.669]   type = 11.00 (SB11_A_0_l)   stellarity = 0.10   chisq2 = 7.74   ODDS = 0.28   z_cluster = 0.228