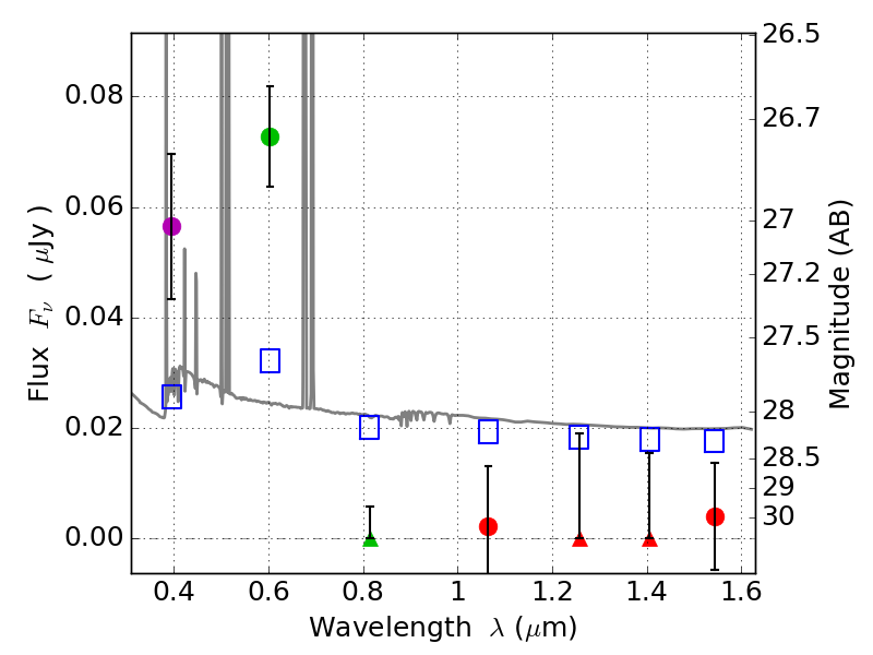
RXS0603+42-N IR detection object #6229

Color images and BPZ results
Catalog: 6229.cat
Black segments are analyzed here.   Roll mouse over color images to view segments.
Best viewed in a wide browser window (1200 pixels or more).   Download SED & P(z) plots to view larger versions.
In P(z) plots: Yellow lines mark the cluster redshift z = 0.228,  

Object #6229   x,y = (2647, 1482)   RA, Dec = (06:03:13.344, 42:14:46.68) = (90.80560, 42.24630)   BPZ = 0.027 [0.017--2.765]   type = 11.00 (SB11_A_0_l)   stellarity = 0.36   chisq2 = 10.51   ODDS = 0.18   z_cluster = 0.228