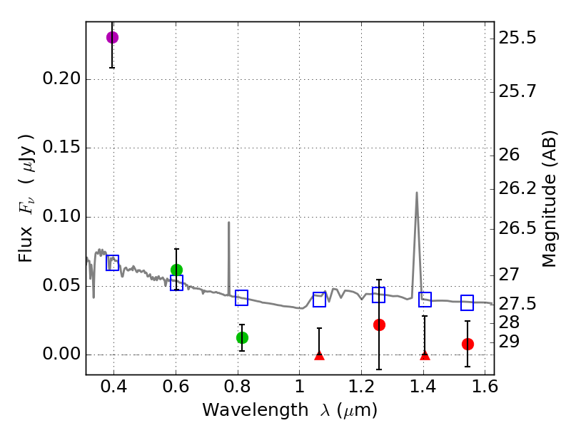
RXS0603+42-N IR detection object #6203

Color images and BPZ results
Catalog: 6203.cat
Black segments are analyzed here.   Roll mouse over color images to view segments.
Best viewed in a wide browser window (1200 pixels or more).   Download SED & P(z) plots to view larger versions.
In P(z) plots: Yellow lines mark the cluster redshift z = 0.228,  

Object #6203   x,y = (3403, 1487)   RA, Dec = (06:03:09.264, 42:14:47.04) = (90.78860, 42.24640)   BPZ = 1.763 [1.467--2.231]   type = 11.00 (SB11_A_0_l)   stellarity = 0.04   chisq2 = 17.29   ODDS = 0.49   z_cluster = 0.228