RXS0603+42-N IR detection object #6202

Color images and BPZ results
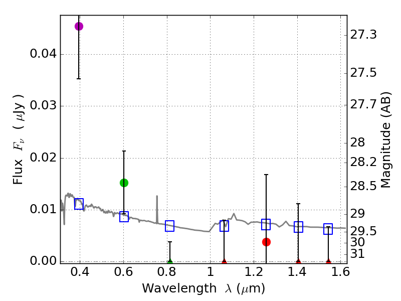
Catalog: 6202.cat
Black segments are analyzed here.   Roll mouse over color images to view segments.
Best viewed in a wide browser window (1200 pixels or more).   Download SED & P(z) plots to view larger versions.
In P(z) plots: Yellow lines mark the cluster redshift z = 0.228,  

Object #6202   x,y = (3798, 1488)   RA, Dec = (06:03:07.128, 42:14:47.04) = (90.77970, 42.24640)   BPZ = 1.700 [0.278--4.685]   type = 11.00 (SB11_A_0_l)   stellarity = 0.43   chisq2 = 4.38   ODDS = 0.14   z_cluster = 0.228