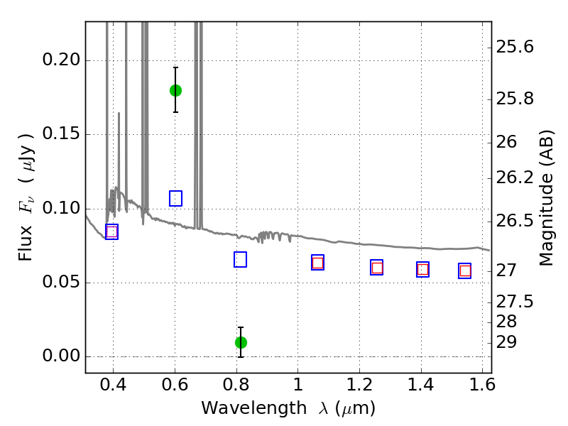
RXS0603+42-N IR detection object #6197

Color images and BPZ results
Catalog: 6197.cat
Black segments are analyzed here.   Roll mouse over color images to view segments.
Best viewed in a wide browser window (1200 pixels or more).   Download SED & P(z) plots to view larger versions.
In P(z) plots: Yellow lines mark the cluster redshift z = 0.228,  

Object #6197   x,y = (1029, 1489)   RA, Dec = (06:03:22.104, 42:14:47.04) = (90.84210, 42.24640)   BPZ = 0.022 [0.010--2.126]   type = 11.00 (SB11_A_0_l)   stellarity = 0.93   chisq2 = 39.87   ODDS = 0.91   z_cluster = 0.228