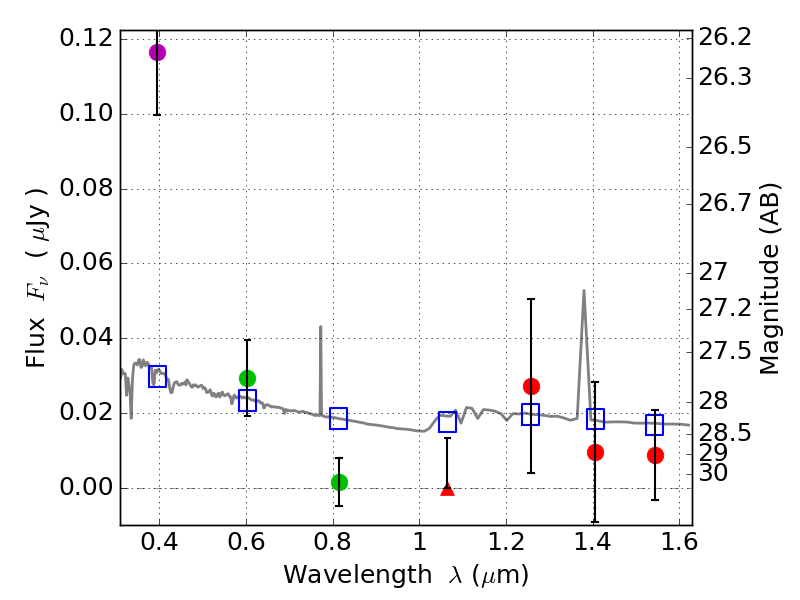
RXS0603+42-N IR detection object #6171

Color images and BPZ results
Catalog: 6171.cat
Black segments are analyzed here.   Roll mouse over color images to view segments.
Best viewed in a wide browser window (1200 pixels or more).   Download SED & P(z) plots to view larger versions.
In P(z) plots: Yellow lines mark the cluster redshift z = 0.228,  

Object #6171   x,y = (2089, 1499)   RA, Dec = (06:03:16.368, 42:14:47.76) = (90.81820, 42.24660)   BPZ = 1.761 [0.934--2.559]   type = 11.00 (SB11_A_0_l)   stellarity = 0.08   chisq2 = 8.72   ODDS = 0.29   z_cluster = 0.228