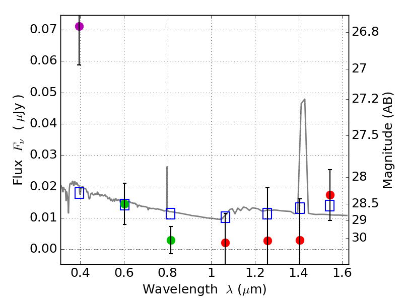
RXS0603+42-N IR detection object #6127

Color images and BPZ results
Catalog: 6127.cat
Black segments are analyzed here.   Roll mouse over color images to view segments.
Best viewed in a wide browser window (1200 pixels or more).   Download SED & P(z) plots to view larger versions.
In P(z) plots: Yellow lines mark the cluster redshift z = 0.228,  

Object #6127   x,y = (3785, 1513)   RA, Dec = (06:03:07.200, 42:14:48.48) = (90.78000, 42.24680)   BPZ = 1.855 [0.701--2.799]   type = 11.00 (SB11_A_0_l)   stellarity = 0.37   chisq2 = 5.88   ODDS = 0.20   z_cluster = 0.228