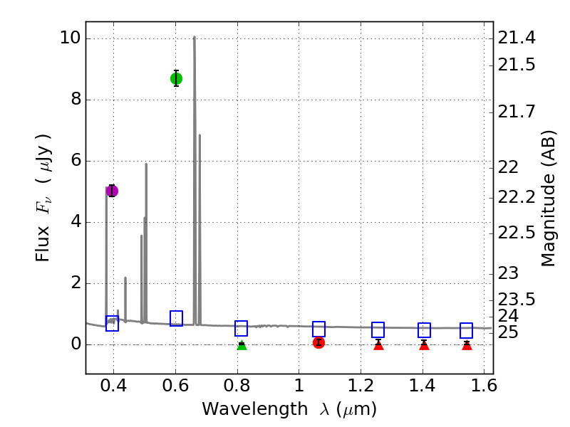
RXS0603+42-N IR detection object #6085

Color images and BPZ results
Catalog: 6085.cat
Black segments are analyzed here.   Roll mouse over color images to view segments.
Best viewed in a wide browser window (1200 pixels or more).   Download SED & P(z) plots to view larger versions.
In P(z) plots: Yellow lines mark the cluster redshift z = 0.228,  

Object #6085   x,y = (3497, 1348)   RA, Dec = (06:03:08.760, 42:14:38.40) = (90.78650, 42.24400)   BPZ = 0.015 [0.010--0.034]   type = 11.00 (SB11_A_0_l)   stellarity = 0.00   chisq2 = 386.40   ODDS = 0.99   z_cluster = 0.228