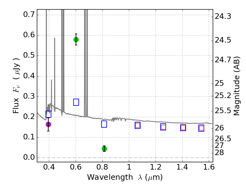
RXS0603+42-N IR detection object #6074

Color images and BPZ results
Catalog: 6074.cat
Black segments are analyzed here.   Roll mouse over color images to view segments.
Best viewed in a wide browser window (1200 pixels or more).   Download SED & P(z) plots to view larger versions.
In P(z) plots: Yellow lines mark the cluster redshift z = 0.228,  

Object #6074   x,y = (3571, 1229)   RA, Dec = (06:03:08.352, 42:14:31.56) = (90.78480, 42.24210)   BPZ = 0.018 [0.010--0.037]   type = 11.00 (SB11_A_0_l)   stellarity = 0.06   chisq2 = 117.80   ODDS = 1.00   z_cluster = 0.228