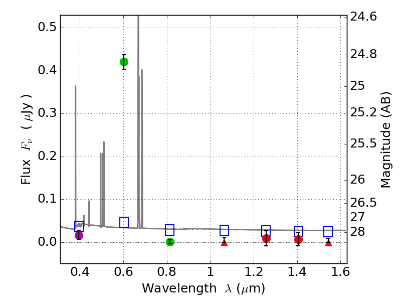
RXS0603+42-N IR detection object #6063

Color images and BPZ results
Catalog: 6063.cat
Black segments are analyzed here.   Roll mouse over color images to view segments.
Best viewed in a wide browser window (1200 pixels or more).   Download SED & P(z) plots to view larger versions.
In P(z) plots: Yellow lines mark the cluster redshift z = 0.228,  

Object #6063   x,y = (3926, 1516)   RA, Dec = (06:03:06.432, 42:14:48.48) = (90.77680, 42.24680)   BPZ = 0.021 [0.010--0.048]   type = 11.00 (SB11_A_0_l)   stellarity = 0.80   chisq2 = 134.70   ODDS = 1.00   z_cluster = 0.228