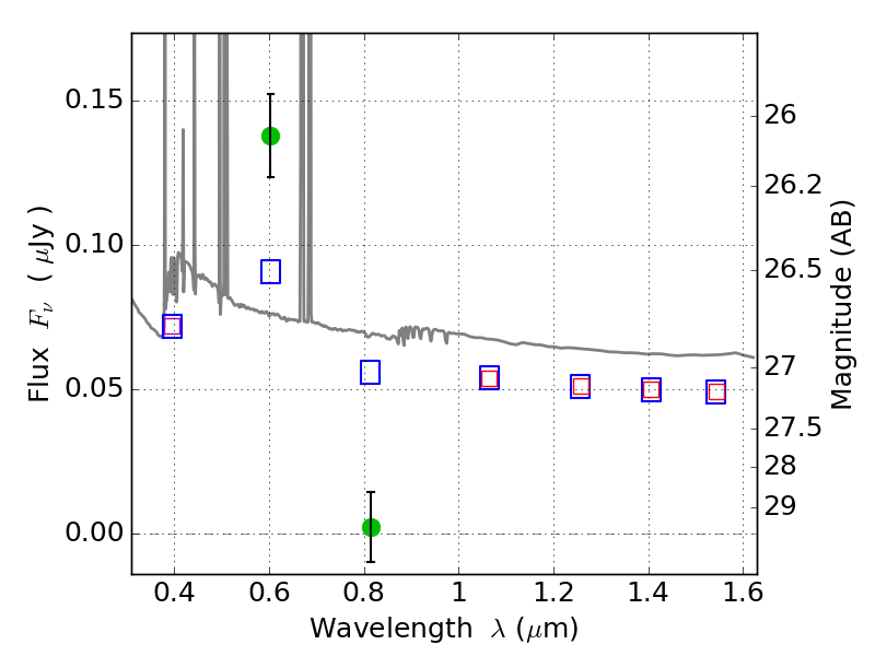
RXS0603+42-N IR detection object #6007

Color images and BPZ results
Catalog: 6007.cat
Black segments are analyzed here.   Roll mouse over color images to view segments.
Best viewed in a wide browser window (1200 pixels or more).   Download SED & P(z) plots to view larger versions.
In P(z) plots: Yellow lines mark the cluster redshift z = 0.228,  

Object #6007   x,y = (1101, 1545)   RA, Dec = (06:03:21.696, 42:14:50.28) = (90.84040, 42.24730)   BPZ = 0.025 [0.015--2.980]   type = 11.00 (SB11_A_0_l)   stellarity = 0.72   chisq2 = 24.80   ODDS = 0.20   z_cluster = 0.228