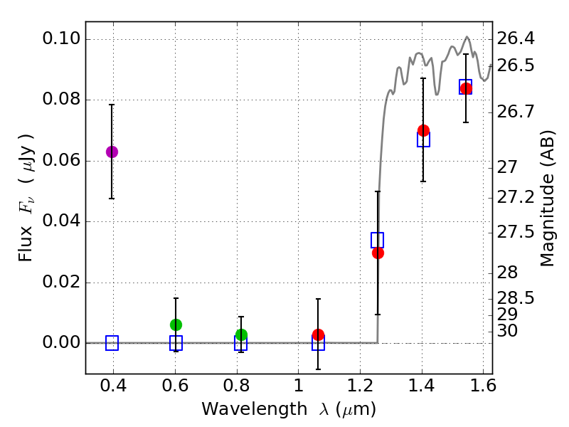
RXS0603+42-N IR detection object #5966

Color images and BPZ results
Catalog: 5966.cat
Black segments are analyzed here.   Roll mouse over color images to view segments.
Best viewed in a wide browser window (1200 pixels or more).   Download SED & P(z) plots to view larger versions.
In P(z) plots: Yellow lines mark the cluster redshift z = 0.228,  

Object #5966   x,y = (2108, 1558)   RA, Dec = (06:03:16.272, 42:14:51.00) = (90.81780, 42.24750)   BPZ = 9.365 [1.614--10.219]   type = 9.20 (SB2_B10 - SB3_B10)   stellarity = 0.42   chisq2 = 3.80   ODDS = 0.40   z_cluster = 0.228