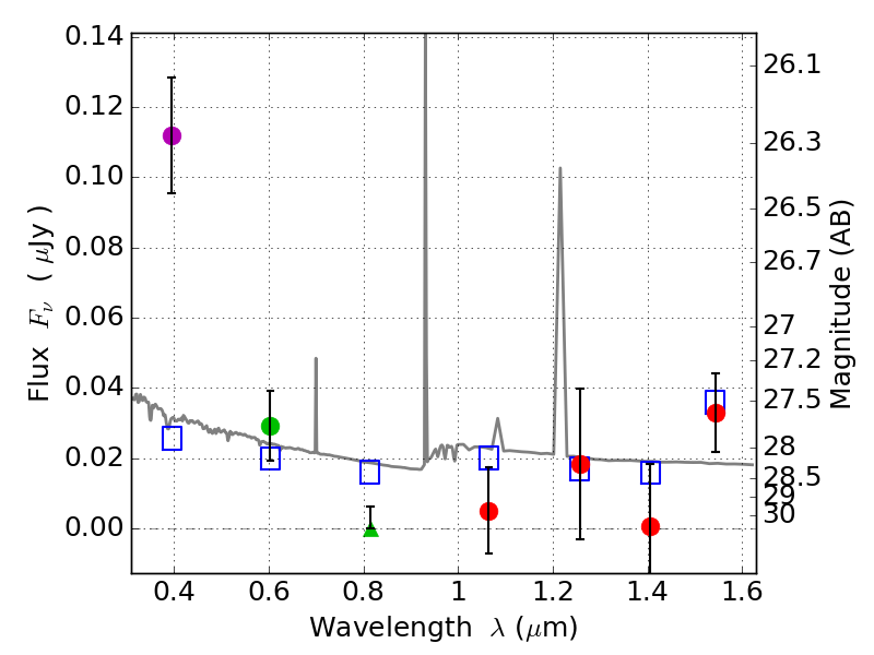
RXS0603+42-N IR detection object #5917

Color images and BPZ results
Catalog: 5917.cat
Black segments are analyzed here.   Roll mouse over color images to view segments.
Best viewed in a wide browser window (1200 pixels or more).   Download SED & P(z) plots to view larger versions.
In P(z) plots: Yellow lines mark the cluster redshift z = 0.228,  

Object #5917   x,y = (2660, 1574)   RA, Dec = (06:03:13.272, 42:14:52.08) = (90.80530, 42.24780)   BPZ = 1.497 [1.144--2.448]   type = 11.00 (SB11_A_0_l)   stellarity = 0.36   chisq2 = 8.88   ODDS = 0.22   z_cluster = 0.228