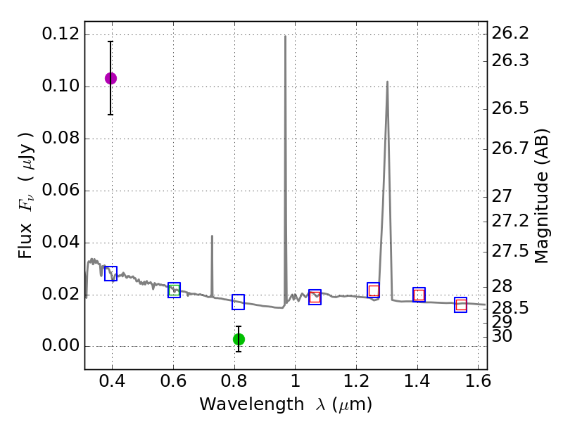
RXS0603+42-N IR detection object #5898

Color images and BPZ results
Catalog: 5898.cat
Black segments are analyzed here.   Roll mouse over color images to view segments.
Best viewed in a wide browser window (1200 pixels or more).   Download SED & P(z) plots to view larger versions.
In P(z) plots: Yellow lines mark the cluster redshift z = 0.228,  

Object #5898   x,y = (4194, 1579)   RA, Dec = (06:03:04.992, 42:14:52.44) = (90.77080, 42.24790)   BPZ = 1.596 [0.942--2.458]   type = 11.00 (SB11_A_0_l)   stellarity = 0.65   chisq2 = 35.69   ODDS = 0.25   z_cluster = 0.228