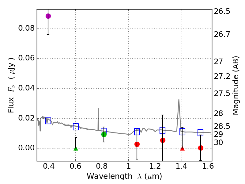
RXS0603+42-N IR detection object #5889

Color images and BPZ results
Catalog: 5889.cat
Black segments are analyzed here.   Roll mouse over color images to view segments.
Best viewed in a wide browser window (1200 pixels or more).   Download SED & P(z) plots to view larger versions.
In P(z) plots: Yellow lines mark the cluster redshift z = 0.228,  

Object #5889   x,y = (2032, 1586)   RA, Dec = (06:03:16.680, 42:14:52.80) = (90.81950, 42.24800)   BPZ = 1.763 [0.362--2.829]   type = 11.00 (SB11_A_0_l)   stellarity = 0.37   chisq2 = 9.30   ODDS = 0.20   z_cluster = 0.228