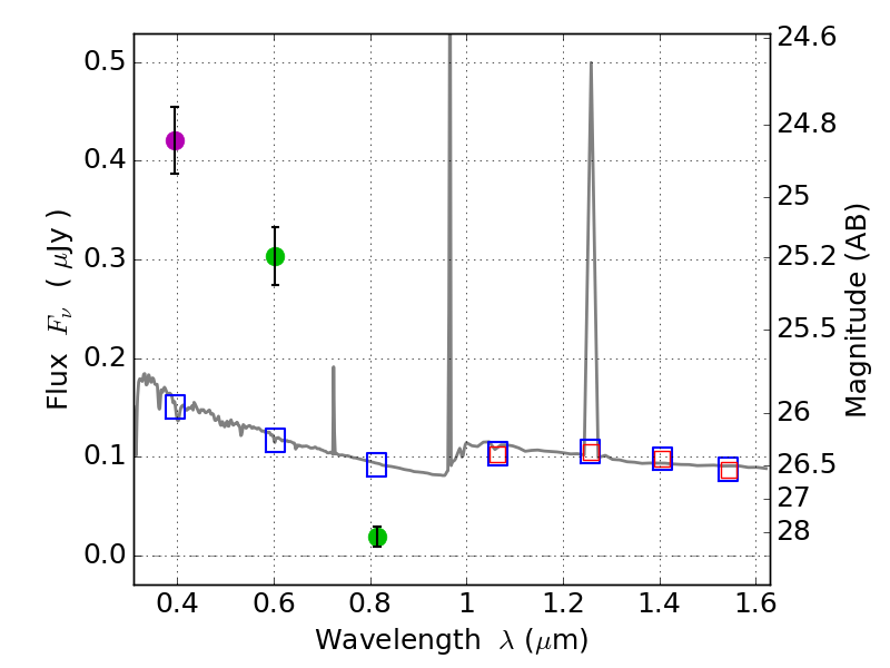
RXS0603+42-N IR detection object #5867

Color images and BPZ results
Catalog: 5867.cat
Black segments are analyzed here.   Roll mouse over color images to view segments.
Best viewed in a wide browser window (1200 pixels or more).   Download SED & P(z) plots to view larger versions.
In P(z) plots: Yellow lines mark the cluster redshift z = 0.228,  

Object #5867   x,y = (4136, 1589)   RA, Dec = (06:03:05.304, 42:14:53.16) = (90.77210, 42.24810)   BPZ = 1.594 [1.433--1.960]   type = 11.00 (SB11_A_0_l)   stellarity = 0.70   chisq2 = 122.80   ODDS = 0.56   z_cluster = 0.228