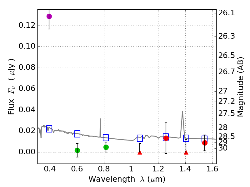
RXS0603+42-N IR detection object #5819

Color images and BPZ results
Catalog: 5819.cat
Black segments are analyzed here.   Roll mouse over color images to view segments.
Best viewed in a wide browser window (1200 pixels or more).   Download SED & P(z) plots to view larger versions.
In P(z) plots: Yellow lines mark the cluster redshift z = 0.228,  

Object #5819   x,y = (2822, 1616)   RA, Dec = (06:03:12.408, 42:14:54.60) = (90.80170, 42.24850)   BPZ = 1.763 [0.927--2.356]   type = 11.00 (SB11_A_0_l)   stellarity = 0.68   chisq2 = 22.11   ODDS = 0.33   z_cluster = 0.228