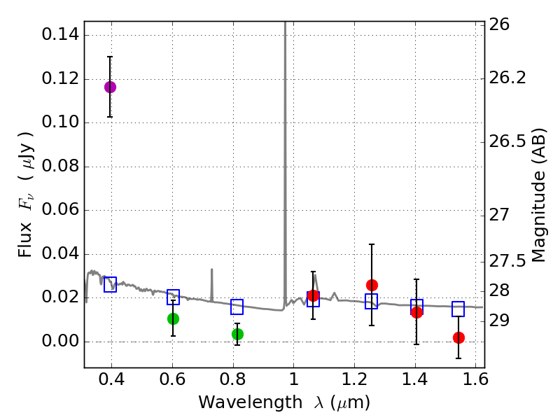
RXS0603+42-N IR detection object #5783

Color images and BPZ results
Catalog: 5783.cat
Black segments are analyzed here.   Roll mouse over color images to view segments.
Best viewed in a wide browser window (1200 pixels or more).   Download SED & P(z) plots to view larger versions.
In P(z) plots: Yellow lines mark the cluster redshift z = 0.228,  

Object #5783   x,y = (3765, 1627)   RA, Dec = (06:03:07.320, 42:14:55.32) = (90.78050, 42.24870)   BPZ = 1.614 [0.900--2.312]   type = 11.00 (SB11_A_0_l)   stellarity = 0.47   chisq2 = 12.67   ODDS = 0.35   z_cluster = 0.228