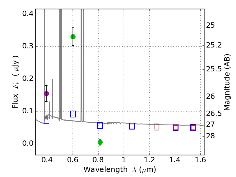
RXS0603+42-N IR detection object #5747

Color images and BPZ results
Catalog: 5747.cat
Black segments are analyzed here.   Roll mouse over color images to view segments.
Best viewed in a wide browser window (1200 pixels or more).   Download SED & P(z) plots to view larger versions.
In P(z) plots: Yellow lines mark the cluster redshift z = 0.228,  

Object #5747   x,y = (4147, 1620)   RA, Dec = (06:03:05.256, 42:14:54.96) = (90.77190, 42.24860)   BPZ = 0.022 [0.018--2.235]   type = 11.00 (SB11_A_0_l)   stellarity = 0.69   chisq2 = 105.90   ODDS = 0.09   z_cluster = 0.228