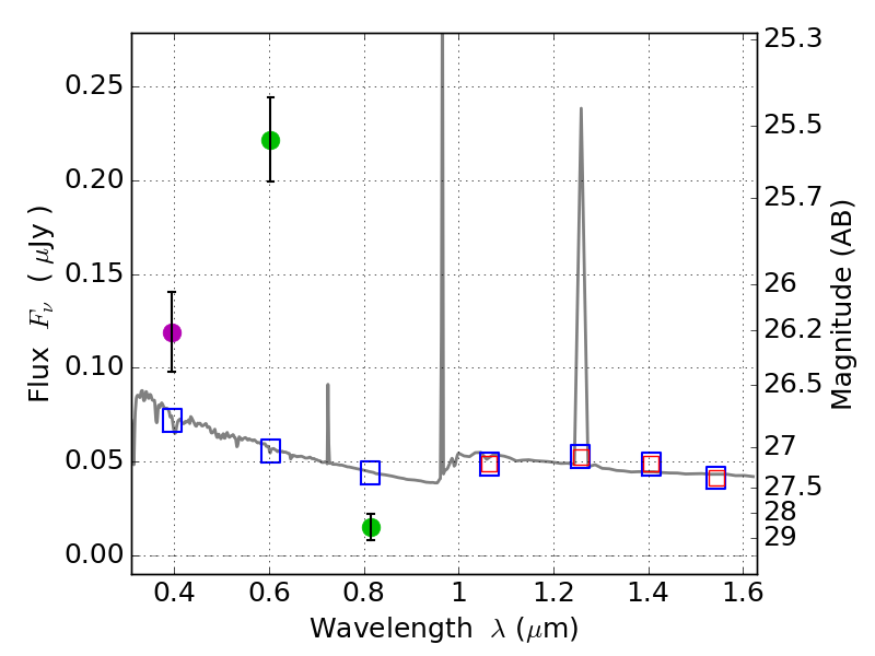
RXS0603+42-N IR detection object #5744

Color images and BPZ results
Catalog: 5744.cat
Black segments are analyzed here.   Roll mouse over color images to view segments.
Best viewed in a wide browser window (1200 pixels or more).   Download SED & P(z) plots to view larger versions.
In P(z) plots: Yellow lines mark the cluster redshift z = 0.228,  

Object #5744   x,y = (4144, 1606)   RA, Dec = (06:03:05.256, 42:14:53.88) = (90.77190, 42.24830)   BPZ = 1.595 [0.029--2.317]   type = 11.00 (SB11_A_0_l)   stellarity = 0.50   chisq2 = 67.58   ODDS = 0.31   z_cluster = 0.228