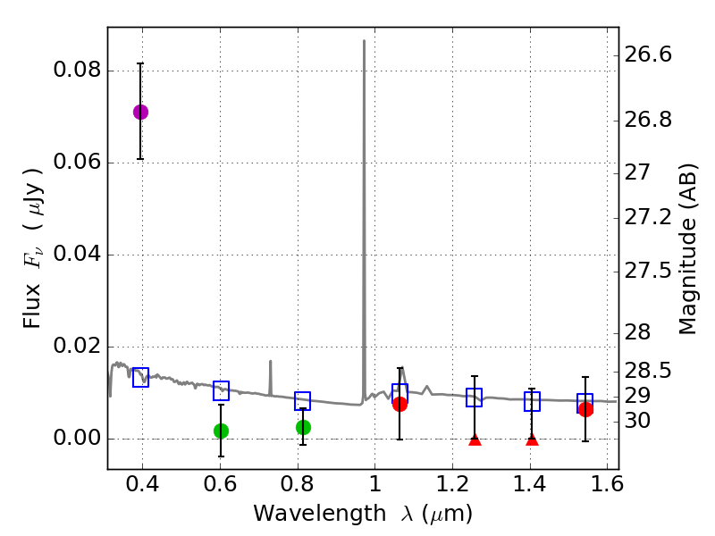
RXS0603+42-N IR detection object #5673

Color images and BPZ results
Catalog: 5673.cat
Black segments are analyzed here.   Roll mouse over color images to view segments.
Best viewed in a wide browser window (1200 pixels or more).   Download SED & P(z) plots to view larger versions.
In P(z) plots: Yellow lines mark the cluster redshift z = 0.228,  

Object #5673   x,y = (2736, 1665)   RA, Dec = (06:03:12.864, 42:14:57.48) = (90.80360, 42.24930)   BPZ = 1.612 [0.470--3.832]   type = 11.00 (SB11_A_0_l)   stellarity = 0.35   chisq2 = 9.01   ODDS = 0.16   z_cluster = 0.228