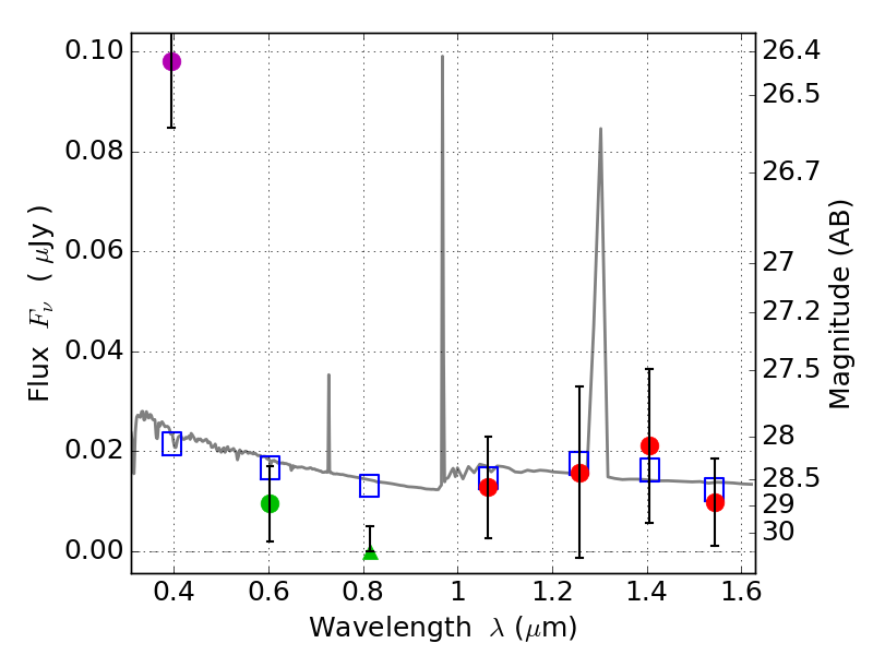
RXS0603+42-N IR detection object #5660

Color images and BPZ results
Catalog: 5660.cat
Black segments are analyzed here.   Roll mouse over color images to view segments.
Best viewed in a wide browser window (1200 pixels or more).   Download SED & P(z) plots to view larger versions.
In P(z) plots: Yellow lines mark the cluster redshift z = 0.228,  

Object #5660   x,y = (3426, 1667)   RA, Dec = (06:03:09.144, 42:14:57.84) = (90.78810, 42.24940)   BPZ = 1.599 [0.803--2.474]   type = 11.00 (SB11_A_0_l)   stellarity = 0.37   chisq2 = 10.13   ODDS = 0.25   z_cluster = 0.228