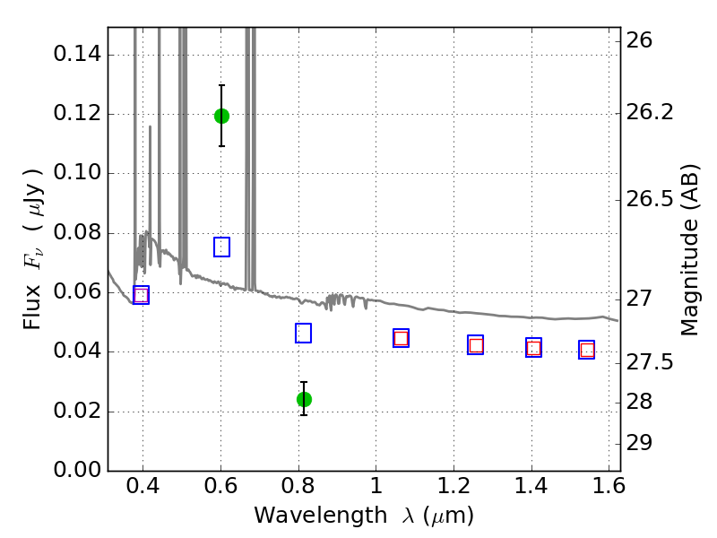
RXS0603+42-N IR detection object #5556

Color images and BPZ results
Catalog: 5556.cat
Black segments are analyzed here.   Roll mouse over color images to view segments.
Best viewed in a wide browser window (1200 pixels or more).   Download SED & P(z) plots to view larger versions.
In P(z) plots: Yellow lines mark the cluster redshift z = 0.228,  

Object #5556   x,y = (1145, 1689)   RA, Dec = (06:03:21.480, 42:14:58.92) = (90.83950, 42.24970)   BPZ = 0.023 [0.010--2.300]   type = 11.00 (SB11_A_0_l)   stellarity = 0.77   chisq2 = 23.85   ODDS = 0.88   z_cluster = 0.228